Document detailing requirements for a martial arts test, including technique instructions, three-step attack sequences, history, and philosophy questions, with translations and color coding charts.
A document titled "Requisitos para examen de cinta amarilla" for individuals 13 years or older, listing techniques, steps, and questions about Taekwondo, including references to Dan Gun, four directional block, and color belt system.
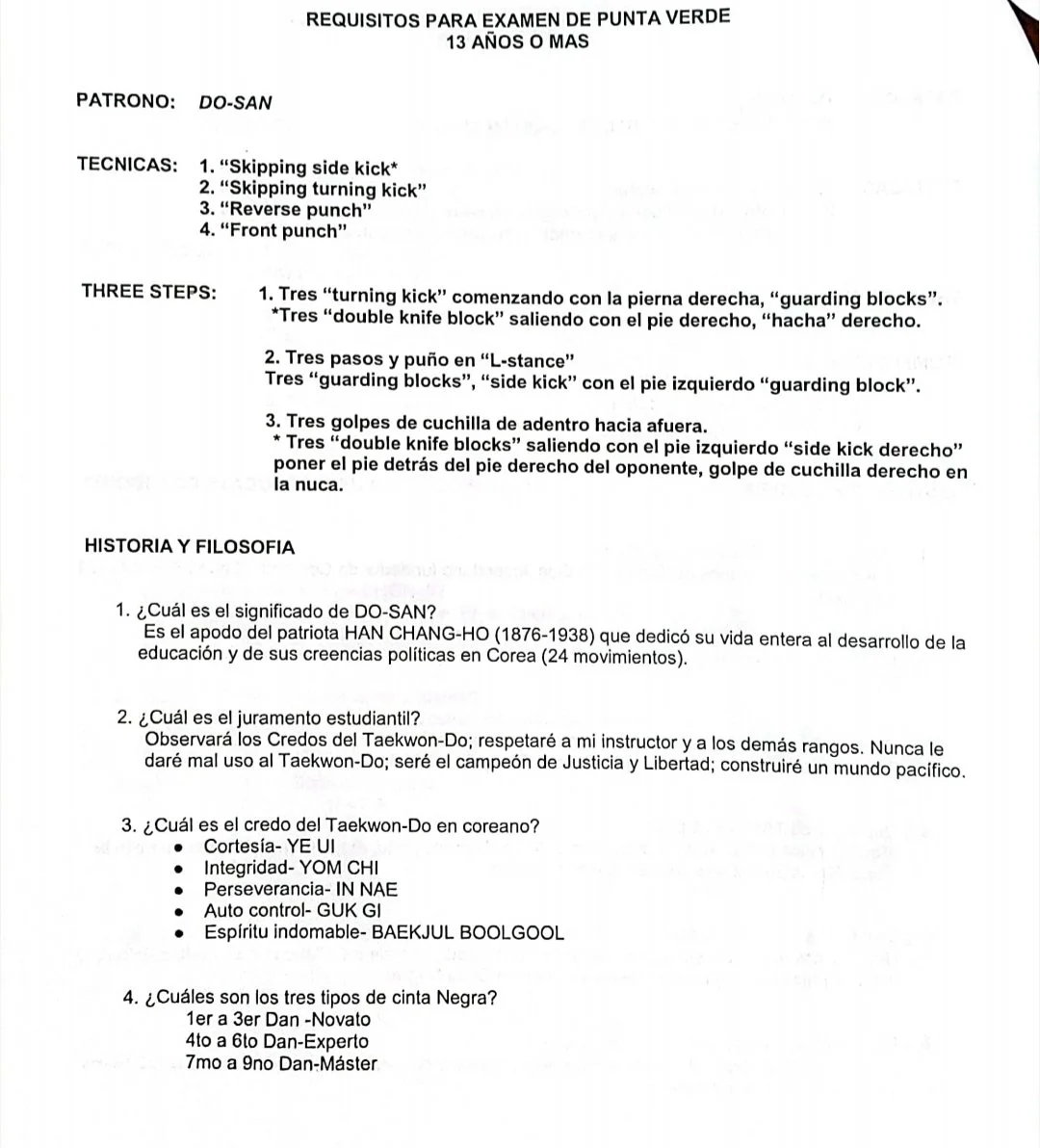
A document titled 'Requisitos para examen de punta verde 13 años o más' with instructions for a martial arts exam, including techniques, steps, history, philosophy, and different types of black belts.
A document outlining the requirements and techniques for a green belt karate exam for students 13 years or older, including technical moves, steps, fighting, and philosophy questions.
Document titled 'Requisitos para examen de punta azul 13 años o más' outlining techniques, steps, and terminology for a martial arts exam, including phrases in Korean and their meanings.
A document in Spanish titled 'Requisitos para examen de cinta azul 13 años o más', detailing techniques, steps, and requirements for a Taekwondo blue belt exam, including illustrations of specific kicks and stances, with sections on history, philosophy, and vocabulary related to Taekwondo.
Document listing requirements and techniques for a Taekwondo red belt exam for students aged 13 or older, including techniques, steps, and philosophical questions.
Document in Spanish with requirements and techniques for a red belt exam, including kicking techniques, repetitions, sparring instructions, and history of Hwa Rang.
A page with Spanish text, containing questions and multiple-choice answers about martial arts, power theory, observation points during exercises, and core movements.